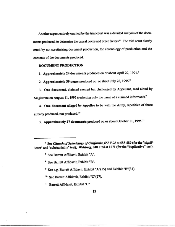
Sovereignty Commission Online
SCR ID # 50-2-25-1-23-1-1
Viewed on: April 23, 2026
There are 53 pages in this document. (Viewing page 23 of 53)
Viewed on: April 23, 2026
There are 53 pages in this document. (Viewing page 23 of 53)